
科研人员在双电子复合精密谱学研究方面取得重要进展
宇宙中95%以上的可见物质都处于等离子体状态,在恒星、超新星遗迹、星系、行星状星云、X射线双星和活动星系核等研究中都涉及到等离子体过程。在天体等离子体内部发生的各种过程中,电子与各种电荷态离子主要的碰撞反应通道包括电子离子复合、电子碰撞电离和电子碰撞激发,其中电子离子辐射复合RR(Radiative Recombination)和双电子复合DR(Dielectronic Recombination)是最基本和最重要的原子过程。因此,对各种电荷态离子的辐射复合RR和双电子复合DR反应速率系数的实验室精密测量是理解天体等离子体行为的先决条件。此外,电子和离子的反应速率系数是了解等离子体演化动力学和等离子体建模的重要基础数据,不同温度下的复合反应速率决定着等离子体的性质,对深入认识天体等离子体和聚变等离子体等基础研究具有重要价值。
近期,中国科学院近代物理所马新文研究员课题组的科研人员利用兰州重离子加速器国家实验室的重离子冷却储存环CSRm首次开展了类铍40Ar14+离子的双电子复合精密谱学实验。实验中不仅测量到了2s2→2s2p的所有双电子复合DR共振跃迁,还观测到了非常强的2s2→2p2三电子复合TR(Trielectronic Recombination)奇异跃迁的贡献。此外,实验还首次得到了专门用于天体等离子体模型的等离子体速率系数,并且与不同的理论模型进行了对比。本次实验结果表明三电子复合TR在电子离子复合低能段的贡献甚至超过DR,澄清了不同理论模型的适用范围,为天体等离子体模型提供了基准数据,并且为在重离子冷却储存环CSRe上和未来大型重离子加速器装置HIAF上开展高电荷态离子双电子复合精密谱学实验开展原子物理和核物理交叉前沿研究奠定了基础。
研究成果发表在国际著名的天体物理期刊《The Astrophysical Journal Supplement Series》上(Astrophys. J. Suppl. S 235.1 (2018): 2)。该研究的合作单位包括中国科学技术大学,复旦大学,德国吉森大学,英国斯特拉斯克莱德大学等,文章链接: http://iopscience.iop.org/article/10.3847/1538-4365/aaa5b3/meta
研究工作得到了科技部重点研发计划,国家自然科学基金项目,中科院战略性先导科技专项B和中科院重点前沿项目和中科院青年创新促进会的支持。
图1:实验测量得到的40Ar14+离子的DR速率系数(黑色点线)和理论计算结果随着相对碰撞能量的变化关系,质心系下的能量范围为0-60eV, 覆盖了2s2电子的所有的∆n=0的双电子复合(2s2→2s2p, 1P1, 3P0, 1, 2)以及部分三电子复合(2s2→2p2, 1S0, 1D2, 3P0, 1, 2)共振跃迁,对应的跃迁能量在图中用短线所标识。
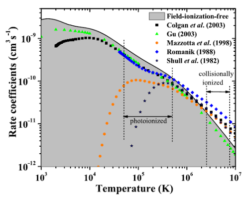
图2:实验得到等离子体速率系数随着温度的变化关系(灰色阴影部分)和不同理论模型计算结果的对比。实验结果与AUTOSTRUCTURE和FAC理论计算结果符合较好,提供了天体等离子体模型需要的基准数据。

甘公网安备 62010202000713号